
Opis projektu
Jednym z największych wyzwań współczesności jest szybkie starzenie się społeczeństwa. Coraz bardziej wydłuża się średnia długość życia i rośnie liczba osób starszych mieszkających samodzielnie, z których duża część potrzebuje pomocy w życiu codziennym. Model rodziny wielopokoleniowej jest spotykany coraz rzadziej, co oznacza zmiany w formie i sposobie niesienia pomocy osobom starszym. Taka sytuacja rodzi potrzebę sprawdzenia, czy i w jakim zakresie zmienił się udział czasu poświęconego na opiekę nad osobami starszymi w ogólnym budżecie czasu polskich rodzin, jaki jest profil społeczno-ekonomicznych gospodarstw domowych, w którym taka sytuacja najczęściej ma miejsce i czy nie jest ona powiązana z zagrożeniem ubóstwem czasu. Z punktu widzenia polityki społecznej interesujące jest także poznanie alternatywnego kosztu opieki nad osobami starszymi.
Projekt “Alokacja czasu na opiekę nad osobami starszymi: zmieniające się trendy i uwarunkowania” finansowany był przez Narodowe Centrum Nauki. Kwota dofinansowania wyniosła 113 750 złotych.
Zastosowana metoda badawcza
Badanie jest prowadzone z wykorzystaniem danych ilościowych pochodzących z Badania budżetów czasu ludności w 2013 roku, przeprowadzonego przez Główny Urząd Statystyczny. Na podstawie tych danych odtwarzana jest sekwencja wykorzystania czasu w ciągu dnia oraz przeprowadzana jest analiza oparta na statystykach opisowych i przy wykorzystaniu metod regresji liniowej. Metoda ta pozwala badaczom oszacować, czy opieka nad osobami starszymi prowadzi do ubóstwa czasu i ograniczenia czynności związanych z aktywnym wypoczynkiem oraz innymi formami odpoczynku. Komplementarne źródło stanowią dane z przeprowadzonego przez GUS Badania Struktury Wynagrodzeń, które służą do oszacowania kosztów utraconych zarobków i wyceny opieki wykonywanej przez profesjonalistów.
Cel badania
Celem projektu jest zidentyfikowanie zmian i uwarunkowań wpływających na dokonywane przez rodziny wybory dotyczące alokacji czasu na opiekę nad osobami starszymi w Polsce.
Realizacja badania pozwoli na uzupełnienie luki w dostępie do aktualnych i porównywalnych analiz na temat zmian we wzorach wykorzystania czasu na zadania opiekuńcze w Polsce. Wyniki badania powinny być również interesujące dla kształtowania kierunków i celów polityki społecznej, jako uzupełnienie knowledge based economy.
W ramach projektu powstał artykuł podsumowujący.
https://link.springer.com/
Do pobrania
Harmonogram
Okres realizacji projektu przypada na lata 2017–2019.
Wyniki badań
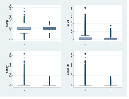
Statystyki opisowe:

|
Opiekunowie (n=1682) |
|||
| Średnia | Std, Dev, | Max | |
| Życie towarzyskie | 48,9 | 62,7 | 670 |
| Sen | 506,1 | 87,5 | 840 |
| Sport | 17,5 | 38,0 | 350 |
| Hobby | 2,3 | 13,2 | 180 |
|
Inni (n=37285) |
|||
| Średnia | Std. Dev. | Max | |
| Życie towarzyskie | 51 | 71 | 830 |
| Sen | 528 | 97 | 1440 |
| Sport | 27 | 50 | 810 |
| Hobby | 5 | 26 | 640 |
Wyniki analiz:
| Regression (1): Czas wolny poświęcony na: | |||||
| Sen | Sport | Hobby | Życie towarzyskie | ||
| Opiekun |
-29.159*** (2.318) |
-9.327*** (1.237) |
-2.141*** (0.638) |
-2.486 (1.746) |
|
| Regression (2): Chęć poświęcenia więcej czasu na: | |||||
| Sen |
Sport |
Hobby |
Życie towarzyskie |
||
| Opiekun |
0.304*** (0.059) |
0.323*** (0.055) |
0.344** (0.054) |
0.422*** (0.052) |
|
Standard errors in parentheses:* p<0.05, ** p<0.01, *** p<0.001
Regression (1): controls for time spent in paid work, income level, gender, age, education, children age 0-6 in hh.
Regression (2): controls for time spent in paid work, income level, gender, age, overall well-being.
Badania empiryczne prowadzą do następujących wniosków:
- Opiekunowie osób starszych poświęcają mniej czasu na sen, sport i hobby w porównaniu do osób, które nie opiekują się osobami starszymi. Nie ma znaczącej różnicy w odniesieniu do czasu poświęconego na życie towarzyskie.
- W odniesieniu do wszystkich analizowanych form spędzania czasu wolnego opiekunowie deklarują deficyt czasu poświęconego na tego rodzaju aktywności.
- Dalsze analizy powinny skupić się na zbadaniu, czy deficyt czasu na odpoczynek jest powiązany z płcią opiekuna oraz w jakim stopniu wynika on ze wspólnego prowadzenia gospodarstwa domowego lub zamieszkania poza gospodarstwem domowym osoby wymagającej opieki.
